La suma de los ángulos interiores de un triángulo
es igual a dos rectos.
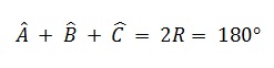
Debemos demostrar que:
Se reemplaza en (1) por sus iguales: es decir donde aparece α se coloca  y donde aparece ε se coloca Ĉ .
A continuación observa el video de la demostración y responde el cuestionario:
Espero te haya gustado, hasta pronto.




2 comentarios:
Dani!!. No me sale el video con zoom. No se si es mi Pc, o algún problema pasa. Hice lo que me dijiste...y también hice clic en las flechitas. Si no se ve en zoom, el video NO puede apreciarse! snifffffffffffff. Sigo picoteando como la golondrina y el colibri que ayornan tu Blog. ;-)
Los que no pueden agrandar, sugiero que entren a la dirección: http://www.youtube.com/watch?v=7L9CXgUH-oo&feature=player_embedded
Allí podrán apreciar el video.
Me encantó Daniela.
Publicar un comentario